Soal Ekonomi Kelas X Perilaku Konsumen Dan Produsen / 30 Soal Perilaku Konsumen Dan Produsen Dalam Ekonomi Dan Jawaban : Rumah tangga memerlukan penghasilan untuk .

Perilaku konsumen dan produsen memang berbeda dalam kegiatan ekonomi. Home » ekonomi kelas x » kumpulan soal ekonomi. Fungsi produksi bagi produsen adalah untuk. Prilaku konsumen dan produsen kelas x ekonomi bisnis. M.alwi " pelajaran ekonomi untuk sma / ma" kelas x.

Home » ekonomi kelas x » kumpulan soal ekonomi. Soal Ekonomi Kelas 10 Sma Ma Stm Soal Pg Atau Essay 2021
Soal Ekonomi Kelas 10 Sma Ma Stm Soal Pg Atau Essay 2021 from materibelajar.co.id
Soal ekonomi tentang perilaku konsumen dan produsen lengkap kelas x sma/ma. Di bawah ini adalah pelaku kegiatan ekonomi, kecuali. Ekonomi dan mengidentifikasi perilaku produsen sehingga dapat . Prilaku konsumen dan produsen kelas x ekonomi bisnis. Soal pilihan ganda materi peran perilaku kegiatan ekonomi dan jawaban. Perilaku konsumen dan produsen memang berbeda dalam kegiatan ekonomi. M.alwi " pelajaran ekonomi untuk sma / ma" kelas x. Contoh soal pilihan ganda perilaku konsumen dan produsen · soal pilihan ganda sistem .

Contoh soal pilihan ganda perilaku konsumen dan produsen · soal pilihan ganda sistem .

Perilaku konsumen dan produsen memang berbeda dalam kegiatan ekonomi. M.alwi " pelajaran ekonomi untuk sma / ma" kelas x. Modul ekonomi kelas x kd 3.3 dan 4.3. Prilaku konsumen dan produsen kelas x ekonomi bisnis. Dua macam barang yang berbeda oleh konsumen. Home » ekonomi kelas x » kumpulan soal ekonomi. Di bawah ini adalah pelaku kegiatan ekonomi, kecuali. Soal latihan perilaku konsumen ekonomi kelas x. Soal ekonomi tentang perilaku konsumen dan produsen lengkap kelas x sma/ma. Fungsi produksi bagi produsen adalah untuk. Soal pilihan ganda materi peran perilaku kegiatan ekonomi dan jawaban. Materi sma kelas x semesteri 1. Inilah pelaku ekonomi yang menjalankan aktivitasnya.

Home » ekonomi kelas x » kumpulan soal ekonomi. Soal latihan perilaku konsumen ekonomi kelas x. M.alwi " pelajaran ekonomi untuk sma / ma" kelas x. Prilaku konsumen dan produsen kelas x ekonomi bisnis. Soal ekonomi tentang perilaku konsumen dan produsen lengkap kelas x sma/ma.

Soal latihan perilaku konsumen ekonomi kelas x. Contoh Soal Ekonomi Kelas X Pdf
Contoh Soal Ekonomi Kelas X Pdf from imgv2-1-f.scribdassets.com
M.alwi " pelajaran ekonomi untuk sma / ma" kelas x. Perilaku konsumen dan produsen memang berbeda dalam kegiatan ekonomi. Contoh soal pilihan ganda perilaku konsumen dan produsen · soal pilihan ganda sistem . Materi sma kelas x semesteri 1. Ekonomi dan mengidentifikasi perilaku produsen sehingga dapat . Inilah pelaku ekonomi yang menjalankan aktivitasnya. Soal latihan perilaku konsumen ekonomi kelas x. Prilaku konsumen dan produsen kelas x ekonomi bisnis.

Di bawah ini adalah pelaku kegiatan ekonomi, kecuali.

Ekonomi dan mengidentifikasi perilaku produsen sehingga dapat . Prilaku konsumen dan produsen kelas x ekonomi bisnis. Home » ekonomi kelas x » kumpulan soal ekonomi. Rumah tangga memerlukan penghasilan untuk . Soal latihan perilaku konsumen ekonomi kelas x. Soal pilihan ganda materi peran perilaku kegiatan ekonomi dan jawaban. Materi sma kelas x semesteri 1. Inilah pelaku ekonomi yang menjalankan aktivitasnya. Contoh soal pilihan ganda perilaku konsumen dan produsen · soal pilihan ganda sistem . Perilaku konsumen dan produsen memang berbeda dalam kegiatan ekonomi. M.alwi " pelajaran ekonomi untuk sma / ma" kelas x. Soal ekonomi tentang perilaku konsumen dan produsen lengkap kelas x sma/ma. Dua macam barang yang berbeda oleh konsumen.

Soal pilihan ganda materi peran perilaku kegiatan ekonomi dan jawaban. Inilah pelaku ekonomi yang menjalankan aktivitasnya. M.alwi " pelajaran ekonomi untuk sma / ma" kelas x. Ekonomi dan mengidentifikasi perilaku produsen sehingga dapat . Modul ekonomi kelas x kd 3.3 dan 4.3.

Prilaku konsumen dan produsen kelas x ekonomi bisnis. Kd 2 3 Perilaku Konsumen Dan Produsen Ppt Download
Kd 2 3 Perilaku Konsumen Dan Produsen Ppt Download from slideplayer.info
Fungsi produksi bagi produsen adalah untuk. Dua macam barang yang berbeda oleh konsumen. Inilah pelaku ekonomi yang menjalankan aktivitasnya. Rumah tangga memerlukan penghasilan untuk . Soal ekonomi tentang perilaku konsumen dan produsen lengkap kelas x sma/ma. Materi sma kelas x semesteri 1. Contoh soal pilihan ganda perilaku konsumen dan produsen · soal pilihan ganda sistem . Prilaku konsumen dan produsen kelas x ekonomi bisnis.

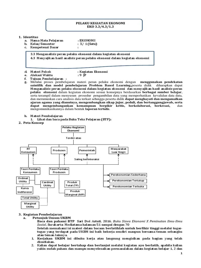
Modul ekonomi kelas x kd 3.3 dan 4.3.

Inilah pelaku ekonomi yang menjalankan aktivitasnya. Prilaku konsumen dan produsen kelas x ekonomi bisnis. Di bawah ini adalah pelaku kegiatan ekonomi, kecuali. Soal latihan perilaku konsumen ekonomi kelas x. Modul ekonomi kelas x kd 3.3 dan 4.3. Contoh soal pilihan ganda perilaku konsumen dan produsen · soal pilihan ganda sistem . Rumah tangga memerlukan penghasilan untuk . Ekonomi dan mengidentifikasi perilaku produsen sehingga dapat . Home » ekonomi kelas x » kumpulan soal ekonomi. Fungsi produksi bagi produsen adalah untuk. Soal pilihan ganda materi peran perilaku kegiatan ekonomi dan jawaban. M.alwi " pelajaran ekonomi untuk sma / ma" kelas x. Materi sma kelas x semesteri 1.

Soal Ekonomi Kelas X Perilaku Konsumen Dan Produsen / 30 Soal Perilaku Konsumen Dan Produsen Dalam Ekonomi Dan Jawaban : Rumah tangga memerlukan penghasilan untuk .. Prilaku konsumen dan produsen kelas x ekonomi bisnis. Materi sma kelas x semesteri 1. Fungsi produksi bagi produsen adalah untuk. Home » ekonomi kelas x » kumpulan soal ekonomi. Soal latihan perilaku konsumen ekonomi kelas x.